Do Abortion Bans Affect Reproductive and Infant Health? Evidence from Texas’s 2021 Ban and its Impact on Health Disparities
Highlights
- Texas’s 2021 6-week abortion ban is used as a case study to examine the causal effect of abortion bans on reproductive health outcomes
- The ban led to:
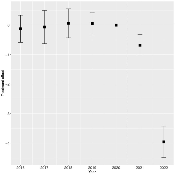
- A drop in abortion rates of 40 percent (Figure 1)
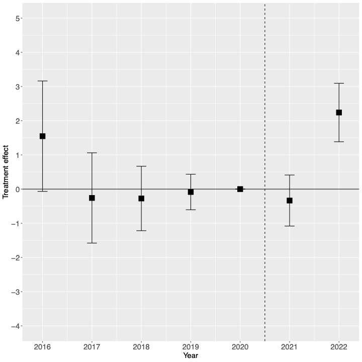
- An increase in fertility rates of 4 percent (Figure 2)
- Increases in the likelihood of very low birth weight of 7 percentage points (Figure 3)
- A 6 percent increase in infant mortality (Figure 4)
- These effects are largest for Black non-Hispanic mothers
- Unmet reproductive health needs after the ban were greatest in:
- Counties with higher proportions of Black non-Hispanic residents
- Counties furthest from states without abortion bans
- The ban led to increases in the rate of short birthing intervals for white and Black non-Hispanic mothers
- The ban’s effects on infant health outcomes were more severe for unintended pregnancies, but also impacted intended pregnancies (Figure 5)
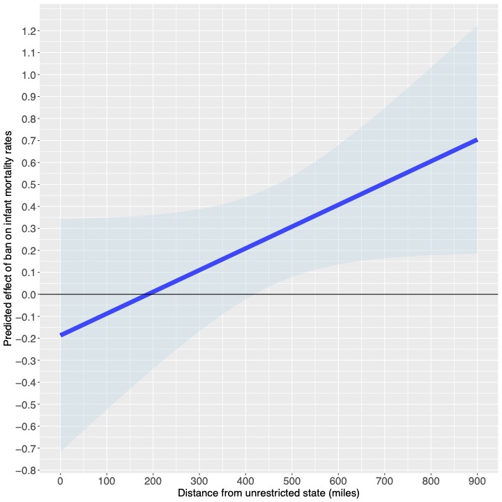
- Counties further from states with legal abortion experienced larger increases in adverse infant health outcomes (Figure 6)
- The study concludes that abortion bans exacerbate existing reproductive health disparities and put the health of pregnant people and infants at risk
Abstract
In June 2022, the U.S. Supreme Court’s Dobbs v. Jackson decision overturned Roe v. Wade, triggering a wave of abortion bans across the country. However, prior to Dobbs v. Jackson, Texas’s Senate Bill 8 (SB 8) took effect in 2021, banning abortions after six weeks of pregnancy. This paper examines the causal impacts of Texas’ abortion ban on reproductive and infant health outcomes, including birth weight and mortality, with a focus on racial and ethnic disparities. Using a unique dataset of county-level and individual-level data, this study finds that the ban led to a 5 percent increase in very low birth weight incidence and a 6 percent rise in infant mortality rates, disproportionately affecting Black non-Hispanic infants, who experienced an approximately fourfold increase in mortality rates relative to white non-Hispanic infants. Additionally, geographic disparities emerged, with counties farther from states with less restrictive abortion policies experiencing more severe outcomes. To explain these disparities, the paper constructs an expanded abortion decision tree to measure unmet reproductive health needs, revealing how groups adjusted fertility choices post-ban. Results indicate a 4 percent increase in fertility and a 40 percent decline in abortion rates after the ban, with Black non-Hispanic women and those in counties far from non-restrictive states facing the largest increases in fertility and unmet needs. The ban also led to shorter interpregnancy intervals (the time between pregnancies), a factor associated with adverse maternal and infant health outcomes. Furthermore, both unintended and intended births exhibited higher rates of infant health complications, indicating spillover effects on the broader reproductive health system. These findings underscore that abortion bans not only significantly impact reproductive health but also amplify pre-existing health disparities, with the most profound consequences for marginalized populations.
Key Figures






Citation
@article{caraher2024,
author = {Caraher, Raymond},
title = {Do {Abortion} {Bans} {Affect} {Reproductive} and {Infant}
{Health?} {Evidence} from {Texas’s} 2021 {Ban} and Its {Impact} on
{Health} {Disparities}},
journal = {Political Economy Research Institute (PERI) Working Paper},
number = {606},
date = {2024-07-28},
url = {https://ssrn.com/abstract=4911886},
langid = {en}
}